Home
Class 10 (Opt. Maths)
_Algebra
_Continuity
_matrix
_Straight Lines
_Pair of Lines
_Statistics
_Height and Distance
_Equation of Circle
_Vector
_Transformation
_Multiple Angles
_Sub-Multiple Angles
_Conditional Identities
_Soln of Trigonometric Eqn
_Polynomial
_Sequence and Series
Class 10 Comp. Maths
_1. VAT & Money Exchange
_2. Compound Interest
_3. Population Growth
_5. Cylinder and Sphere
_4. Plane Surface
_6. Prism and Pyramid
_7. HCF and LCM
_8. Sets
_9. Radical & Surds
_10. Indices
_11. Algebraic Fraction
_12. Equations
_13. Triangle & Quad...
_14. Construction
_15. Circle
_16. Exp. Verification
_17. Trigonometry
_18. Statistics
_19. Probability
B. Ed 1st Yr
_Symbolic Logic
B. Ed. 2nd Yr
_Real Number System
_Open and Closed Sets
_Real Sequences
BED Third Year
B.Ed 4th Yr
_Syllabus
_Improper Integrals
_Sequence and Series
CTEVT
_CTEVT 1
__Exam solution 2078
__Exam solution 2075
Class 9 (Opt. Maths)
_Matrices
_Coordinates
_Trigonometry
Class 9 (Comp. Maths)
_Sets
_HCF and LCM
_Factorization
_Indices
Exam Questions
_C. Maths
_Opt. Maths
Ad Code
Ticker
6/recent/ticker-posts
Home
Class-10-C-Maths
Indices
Indices
Khagendra Dhakal
June 06, 2022
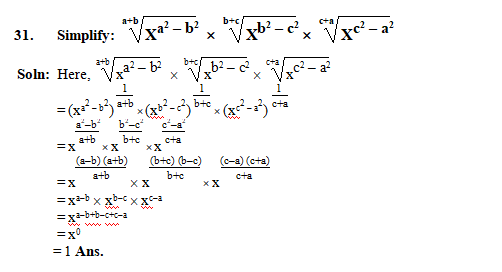
Indices
Solve the following problems
Class-10-C-Maths
Post a Comment
0 Comments
Most Popular
Foundation of Mathematics (B.Ed. First Year)
May 05, 2022
Trigonometry X(Height Distance)
May 05, 2022
Real Analysis(B.Ed. Second Year)
May 05, 2022
Tags
B.Ed.-first-Year-Foundation of - maths
bed-fourth-year-Advanced-Calculus
bed-second-year
bed-third-year-Analytical-Geometry
Class-10-C-Maths
Class-10-opt-Maths
Class-9-C-Maths
Class-9-Opt-maths
CTEVT-first-year-first-part
Categories
Contact form
0 Comments